百哥曰|为什么说涡轮增压比自然吸气更适合高原,而电机是最佳选项呢?

文章图片

文章图片

文章图片

#老司机聊汽车知识#
内容概述:
高原缺氧的原因内燃机的做功原理电机的优势以及高原地区曾经为什么是自然吸气的汽车更多 。
在高原驾驶车辆用自然吸气发动机还是涡轮增压发动机更好?这个问题其实没有任何争议 , 答案绝对是涡轮增压技术好一些;不过需要说明的是增压机同样会因海拔升高出现动力的衰减 , 会感觉好一些的原因只是相同排量的动力基数远超自然吸气发动机 , 基数大则一定程度的衰减后还能正常驾驶 , 反之体验就会很差 。
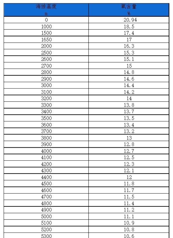
只是高原为什么会造成“空气稀薄”呢?原因很简单 , 那就是海拔越高空气受到重力的作用程度越小;可以理解为重力无法高标准的“约束”“挤压”空气 , 空气就会一定程度的膨胀 , 空气中的各种分子既相吸又相斥 , 外部压力减弱就会因相斥而扩大分子间隙 , 那么体积体积内的分子数量就会减少 , 其中包括氧分子的减少 。
下图为不同海拔标准对应的空气氧浓度比例 。
燃油车之所以会出现高原动力衰减 , 原因正是空气中的氧气减少;燃烧的本质是氧化反应 , 没有氧气则燃油无法燃烧 , 氧气少了则燃油燃烧充分程度会下降 , 燃油燃烧充分程度直接决定转化出的热能(动力)的强弱 。 所以随着海拔的升高、氧浓度的降低 , 燃油燃烧的充分性就会越来越差 , 但是喷油量却不会减少;原因是吸入的空气量(体积概念)并没有变 , 在0米海拔吸入的是0.5L、在5000米海拔吸入的还是0.5L , 只是同样为0.5L空气、5000米海拔的空气中的氧气少了很多而已 。
喷油量是按照进气量来计算 , 也就是所谓的空燃比(空气燃料比);所以高海拔造成的问题就是燃烧充分程度变差 , 以至于热能减少、扭矩下滑、功率下降 。
涡轮增压发动机的优势是什么呢?
其实这种发动机的优势不能以海拔高低去分析 , 其优势是能够实现“富氧燃烧”;富氧就是指空气中的氧浓度高 , 实现富氧的方式是通过涡轮增压器(压气机)压缩空气 , 说白了就是压缩空气使其分子间隙变小 , 在固定体积内压入更多的各种分子、其中包括氧分子 。 不论海拔高低、涡轮增压器都在按照固定的压力标准压缩空气 , 那么随着海拔的升高与降低 , 自然吸气(压缩前)的空气氧浓度会下降、涡轮增压(压缩后)的空气氧浓度也会下降 , 只是在「不同基数」的基础上等比例下降而已 。
下面只要了解基数的差值即可 , 两个排量的极限标准如下 。
1.5L-85kw/150N·m1.5T-138kw/300N·m2.0L-108kw/205N·m2.0T-200kw/400N·m差距是倍数级的 , 即便2.0L&2.0T在高海拔位置都要缩减一半的动力 , 2.0L的体验就是1.0L、2.0T的体验是2.0L , 这就是为什么说高原更适合涡轮增压机的原因 。
只是为什么早期在高原地区的车辆多以大排量的自然吸气发动机为主呢?其实这些车早期大都是二手车 , 其高油耗、动力差的特点决定了在汽车保有量较大的区域没有什么销量 , 只能以低廉的价格往相对偏一些的区域销售 。 其次则是早期的车辆基本都用自然吸气发动机 , 在高原的新车也不例外;但这些车的用户的换车周期往往比较长 , 长期使用这些车就会形成一种自然吸气发动机可能更好的错觉 。
- 新生儿宝宝为什么总打嗝?
- 轻轻拍打屁股其实不算很疼,为什么小孩子哭那么厉害?
- 塞牙|吃食物为什么总是容易塞牙 吃完东西就塞牙剔不出来怎么办
- 干枝杜鹃|干枝杜鹃是国家二级保护植物吗 为什么成了国家二级保护植物
- 阅读|为什么说培养孩子的阅读习惯是最划算的投资这个答案很惊艳
- 空房间|为什么孩子会指着空房间说“有人”?不是迷信,父母最好能知道
- 顺产生娃后为什么还要在产房里呆2个小时?这些特殊的意义你要懂
- 手机|手机为什么要经常消毒 给手机消毒的正确步骤
- 开端|《开端》王萌萌进入循环了吗 王萌萌为什么下车
- 产品|孕期护肤要不要换程序?为什么孕期开始长色斑了?该怎么护肤?